Standardiserat vårdförlopp för cancer utan känd primärtumör, CUP
Introduktion
Det standardiserade vårdförloppet gäller cancer utan känd primärtumör, CUP. I diagnostiseringen av CUP eftersträvas cytologisk eller histopatologisk verifikation, men diagnosen C80.0 kan sättas då utredningen enligt detta standardiserade vårdförlopp inte har påvisat en organspecifik tumör oavsett om patienten har en cytologiskt eller histopatologiskt verifierad cancer eller inte.
Syftet med standardiserade vårdförlopp (SVF) är att alla som utreds för cancermisstanke ska uppleva en välorganiserad, helhetsorienterad professionell vård utan onödig väntetid oavsett var i landet patienten söker vård. Det innebär att samtliga steg i processen och samtliga ledtider är beräknade utifrån hur många dagar som krävs för att genomföra ingående utredningar fram till start av behandling, utan hänsyn till nuvarande organisation och arbetssätt. Respektive region ansvarar för att organisation och resurser möjliggör genomförandet. Vårdförloppet bygger på det nationella vårdprogrammet för diagnosen och de nationella vårdprogrammen för cancerrehabilitering och palliativ vård samt i relevanta fall bäckencancerrehabilitering. Se även vårdprogram för ohälsosamma levnadsvanor. Vårdprogramgruppen ansvarar för att se över vårdprogrammet och vårdförloppet årligen.
Vid misstanke om malignitet hos barn och ungdomar under 18 år ska inte ett SVF startas. I dessa fall ska närmaste barnklinik och/eller barnonkologiska klinik kontaktas redan samma dag för skyndsam vidare utredning.
Förändringar jämfört med tidigare version
2024-11-05
- Strukturella ändringar, samma för alla vårdförlopp:
- Förenklade texter: Kapitlet Generellt om standardiserade vårdförlopp är borttagen. Generiska texter nedkortade och kontaktsjuksköterska har lyfts in i utredningsblocken med länk till nationell uppdragsbeskrivning.
- Avsnitt om t.ex. MDK, klassifikation och kvalitetsindikatorer är borttagna för att undvika upprepning av information som finns i vårdprogrammen.
- Diagnosspecifik remissinformation: Generiskt remissinnehåll borttaget för att fokusera på det som är diagnosspecifikt.
2023-08-10
Tillägg av koder i flödesschemat.
2021-03-23
- Om CUP: Incidens uppdaterad. Tillägg: barn ska inte utredas inom SVF.
- Utredning:
- Förtydligande av hur SVF CUP ska avslutas om patienten får en organspecifik diagnos.
- Justering från ska till bör för deltagare i MDK.
- Indikatorer för uppföljning:
- Palliativ symtomlindrande behandling: mätpunkten för behandlingsstart har flyttats till behandlingsbeslutet och ledtiden är justerad utifrån detta.
- Ledtid för avslutskoden Annan cancer är tillagd i ledtidstabellen, att använda när patienten får en organspecifik diagnos. Detta innebär inte någon ändring i handläggning eller kodning av patienter eftersom koden redan är i bruk. Den har dock saknat definierad ledtid. Ledtiden (22 kalenderdagar) är synkroniserad med SVF Allvarliga ospecifika symtom.
- Ingående ledtider är justerade för att synkronisera utredningen med SVF Allvarliga ospecifika symtom. Justeringen innebär inga ändringar i de totala ledtiderna.
- Arbetsgruppen uppdaterad
- Flödesschemat uppdaterat utifrån ovanstående ändringar.
- Layout och standardtexter följer senaste mallen.
Ingång till standardiserat vårdförlopp
Välgrundad misstanke – kriterier för start av utredning enligt standardiserat vårdförlopp
Välgrundad misstanke om CUP föreligger vid fynd av en eller flera metastasmisstänkta förändringar där primärtumören inte är känd och där det inte finns kliniska symtom eller fynd som tyder på organspecifik cancertyp. Biopsi krävs inte för välgrundad misstanke.
Remiss för utredning vid välgrundad misstanke
Innan SVF-remiss skickas, beakta att patienten önskar, har nytta av och klarar av utredningen. Beslutet ska fattas i samråd med patienten och eventuellt närstående om patienten önskar det.
Remiss vid välgrundad misstanke om CUP ska innehålla tidigare sjukdomar (särskilt malignitet) och vilken information patienten har fått om misstanken.
Remissen ska även innehålla kontaktuppgifter (telefonnummer) till patienten och inremitterande för att möjliggöra snabb kontakt.
Den som remitterar till utredning ska informera patienten om att det finns anledning att göra fler undersökningar för att ta reda på om patienten har eller inte har cancer och att utredningen sker enligt standardiserat vårdförlopp.
Utredning
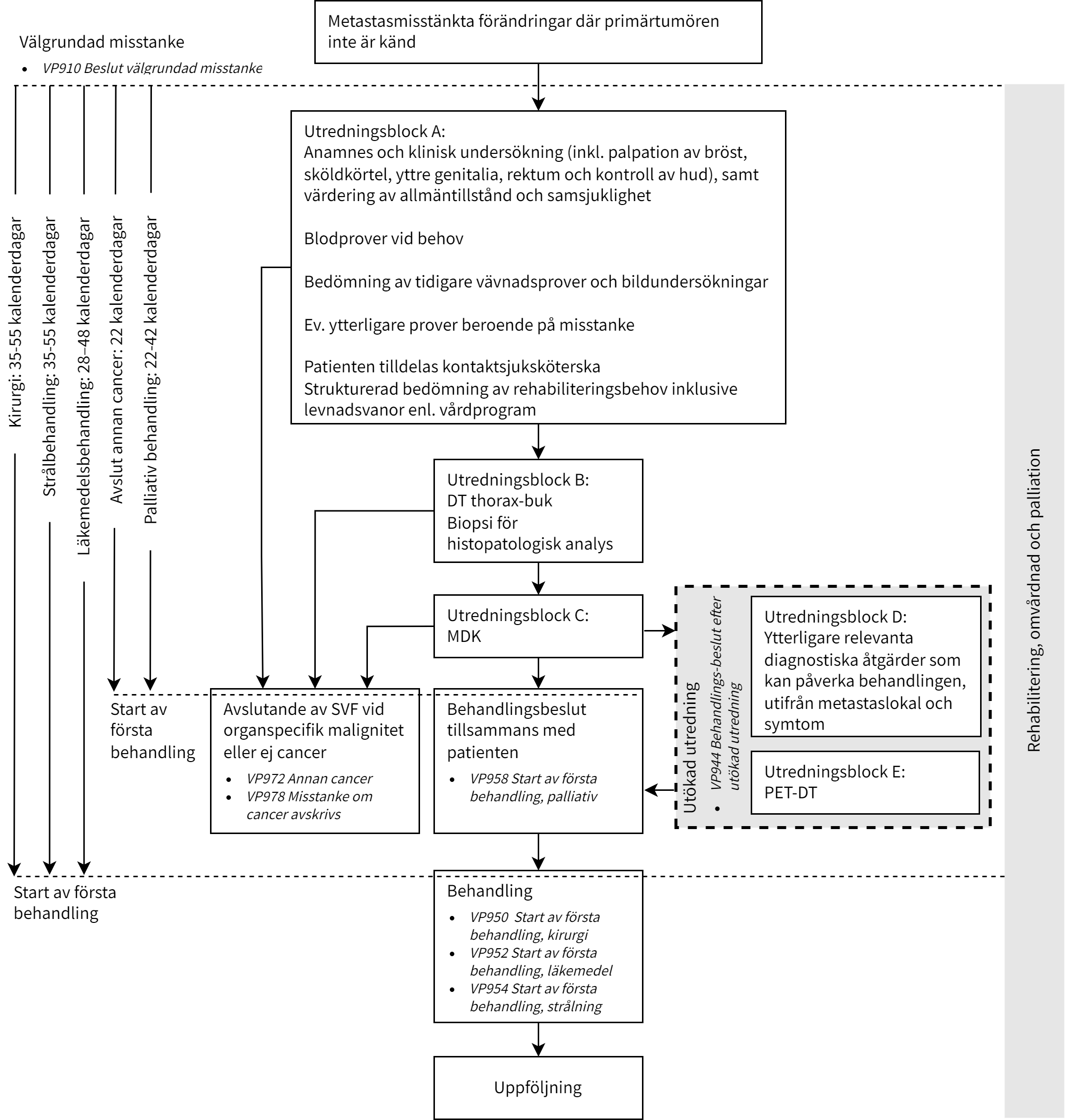
Flödesschema för vårdförloppet

Utredningsförlopp
Patienter bör erbjudas plats i kliniska studier när sådana finns, även om det påverkar utredningen eller ledtiderna.
Utredningen inleds med att remissen granskas av slutenvårdsspecialist. Om remissgranskningen bekräftar den välgrundade misstanken ska patienten utredas enligt nedan. Patienten ska vid utredningens start informeras om att utredningen kan vara fullständig utan att det finns en bekräftad organspecifik cancerdiagnos.
Om utredningen ger välgrundad misstanke om eller bekräftar en organspecifik malignitet avslutas detta SVF och patienten remitteras till relevant enhet för fortsatt utredning och behandling. SVF kan även avslutas om patienten inte önskar, har nytta av eller klarar av utredning eller potentiell behandling.
Utredningen ska planeras i samråd med patienten och närstående om patienten önskar det. Uppmärksamma särskilt om patienten har minderåriga barn. Alla patienter i reproduktiv ålder ska få information om hur behandlingen kommer att påverka fertiliteten, och vid behov erbjudas kontakt med en fertilitetsenhet för rådgivning och eventuell behandling.
|
Block A |
Block B |
|
Anamnes och klinisk undersökning (inkl. palpation av bröst, sköldkörtel, yttre genitalia, rektum och kontroll av hud), samt värdering av allmäntillstånd och samsjuklighet Blodprover vid behov Bedömning av tidigare vävnadsprover och avbildningsundersökningar Beroende på misstanke:
Skelettmetastas: PSA, kalcium, albumin, fraktionerade proteiner i serum och urin för uteslutning av myelom Patienten tilldelas kontaktsjuksköterska Strukturerad bedömning av rehabiliteringsbehov inklusive levnadsvanor enl. vårdprogram |
DT thorax-buk Biopsi för histopatologisk analys
|
|
Block C |
Block D |
|
MDK |
Ytterligare relevanta diagnostiska åtgärder som kan påverka behandlingen, utifrån metastaslokal och symtom |
|
Block E |
|
|
FDG-PET/DT |
|
|
Resultat av utredning |
Åtgärd |
|
Cancermisstanken kvarstår efter block A utan att det finns välgrundad misstanke om organspecifik cancer |
Block B och C utförs |
|
Block B och C bekräftar malignitet utan att det finns välgrundad misstanke om organspecifik cancer |
Block D utförs |
|
Block B och C ger fynd av singel- eller oligometastaser |
Block E utförs |
|
MDK bedömer att den sammanvägda utredningen har gett tillräcklig information för behandlingsbeslut |
Behandlingsbeslut utan vidare utredning |
|
Utredningen ger välgrundad misstanke om eller bekräftar organspecifik malignitet |
Det standardiserade vårdförloppet avslutas och patienten remitteras till relevant enhet för utredning. SVF ska avslutas med kod VP972 – Annan cancer |
|
Utredningen ger misstanke om eller bekräftar annan diagnos som inte omfattas av det standardiserade vårdförloppet eller ingen diagnos. |
Det standardiserade vårdförloppet avslutas och patienten remitteras till relevant enhet för utredning. SVF ska avslutas med kod VP978 – Misstanke om cancer avskrivs |
Beslut om behandling
Beslut om behandling ska fattas av den behandlande läkaren i samråd med patienten, och tillsammans med de närstående om patienten önskar det.
Uppföljning av standardiserat vårdförlopp
Ledtider för nationell uppföljning
Följande ledtider används för nationell uppföljning av de standardiserade vårdförloppen (SVF) med målet att 80 % av de patienter som utreds i ett SVF ska utredas inom ledtiderna.
|
Från |
Till |
Tid |
|
|
Basutredning |
|||
|
Beslut välgrundad misstanke |
Start av första behandling, strålbehandling |
35 kalenderdagar |
|
|
Beslut välgrundad misstanke |
Start av första behandling, läkemedelsbehandling* |
28 kalenderdagar |
|
|
Beslut välgrundad misstanke |
Start av första behandling, kirurgi |
35 kalenderdagar |
|
|
Beslut välgrundad misstanke |
Behandlingsbeslut palliativ symtomlindrande behandling** (motsvarande start av första behandling) |
22 kalenderdagar |
|
|
Beslut välgrundad misstanke |
Besked till patienten om organspecifik malignitet |
22 kalenderdagar |
|
|
Utökad utredning (inkl. block D och E) |
|||
|
Beslut välgrundad misstanke |
Start av första behandling, strålbehandling |
35 kalenderdagar |
|
|
Beslut välgrundad misstanke |
Start av första behandling, läkemedelsbehandling* |
28 kalenderdagar |
|
|
Beslut välgrundad misstanke |
Start av första behandling, kirurgi |
35 kalenderdagar |
|
|
Beslut välgrundad misstanke |
Behandlingsbeslut palliativ symtomlindrande behandling** (motsvarande start av första behandling) |
22 kalenderdagar |
|
|
Beslut välgrundad misstanke |
Besked till patienten om organspecifik malignitet |
22 kalenderdagar |
|
* Cytostatika samt antitumoral medicinsk behandling – hormonell behandling ingår.
** När beslut tas om att inte ge tumörspecifik behandling utan enbart palliativ symtomlindrande behandling avslutas det standardiserade vårdförloppet med koden Start av första behandling, palliativ. Behandlingsbeslutet tillsammans med patienten ska anges som mätpunkt. De symtomlindrande insatserna bör dock inledas redan under utredningen.
Tiderna för tumörspecifik behandling (kirurgi, läkemedelsbehandling och strålbehandling) gäller vid såväl kurativ som icke kurativ intention.
När en patient ingår i kliniska studier kan ledtiderna påverkas. Se kodningsvägledningen för riktlinjer om hur detta ska rapporteras.
Beräkning av ledtider
Rekommenderade ledtider för de delar av utredningen som ingår i SVF.
|
Från |
Till |
Tid |
|
Beslut välgrundad misstanke |
Välgrundad misstanke – remiss mottagen |
1 kalenderdag |
|
Välgrundad misstanke – remiss mottagen |
Första besök i specialiserad vård (block A) |
7 kalenderdagar |
|
Första besök i specialiserad vård (block A) |
Block B |
5 kalenderdagar |
|
Block B |
Första multidisciplinära konferens (block C) |
7 kalenderdagar |
|
Block C, inklusive D och/eller E |
Beslut om behandling |
22 kalenderdagar |
|
Block C, exklusive D och E |
Beslut om behandling |
2 kalenderdag |
|
Beslut om behandling |
Start av första behandling, strålbehandling |
13 kalenderdagar |
|
Beslut om behandling |
Start av första behandling, läkemedelsbehandling* |
6 kalenderdagar |
|
Beslut om behandling |
Start av första behandling, kirurgi |
13 kalenderdagar |
* Cytostatika samt antitumoral medicinsk behandling – hormonell behandling ingår.
Övrig uppföljning
Utöver ledtider följs även inklusion i SVF med målet att 70 % av nya cancerfall inom aktuella diagnoser ska utredas i ett standardiserat vårdförlopp. Patienternas upplevelse följs genom PREM-enkäter. Vårdens kvalitet följs via kvalitetsregister för respektive diagnos.
Statistik redovisas på cancercentrum.se.
Arbetsgrupp
Vårdprogramgruppen ansvarar för att uppdatera det standardiserade vårdförloppet. Se lista med gruppens medlemmar i nationellt vårdprogram för cancer utan känd primärtumör.
Bilaga 1 Kodningsvägledning
Senast uppdaterad: 2024-11-05
En diagnosövergripande kodningsvägledning finns på sidan Mätning och kodning, cancercentrum.se.
Obligatorisk kod: Start av SVF
VP910 – Beslut välgrundad misstanke
Datum då beslut fattas om att välgrundad misstanke föreligger, i enlighet med kriterierna i vårdförloppsbeskrivningen.
Obligatorisk kod vid överflyttning mellan regioner
VP991 – Patient mottagen från annan region
Den region som avslutar SVF (vid start av behandling eller av annan orsak) ska rapportera hela vårdförloppet till den nationella väntetidsdatabasen, även när SVF har startats i en annan region.
Regionen ska då rapportera
- datum för välgrundad misstanke (VP910)
- datum för remissmottagande (VP991) samt vilken region som remitterat patienten
- datum för avslut (VP950 till VP978)
- patientens folkbokföringslänskod.
När en SVF-patient remitteras till en annan region är det därför viktigt att remissen innehåller information om datum för välgrundad misstanke.
Remitterande region kan använda kod VP990 för intern uppföljning (frivillig kod).
Obligatorisk kod vid utökad utredning
Koderna används för att i ledtidsmätningen skilja på behandlingsstart efter basutredning respektive utökad utredning. Endast kod 44 är obligatorisk. Avsaknad av kod tolkas som basutredning.
Utökad utredning i detta vårdförlopp innebär att patienten genomgår kompletterande diagnostik efter den första MDK. Utredningen är individualiserad men ska omfatta ny MDK.
VP944 – Behandlingsbeslut efter utökad utredning
Koden ska endast användas när patienten har genomgått utökad utredningen enligt ovan. Den ska inte användas för att utredningen tar längre tid p.g.a. samsjuklighet eller liknande.
VP943 – Behandlingsbeslut efter basutredning är en frivillig kod som kan användas för att markera behandlingsbeslutet efter basutredningen, alltså när patienten inte genomgått den utökade utredningen.
Obligatorisk kod för avslut
Det är obligatoriskt att ange EN avslutskod, antingen för start av behandling eller för avslut av annan orsak.
Koder när SVF avslutas vid start av behandling
Observera att avslutskoderna för behandling endast ska användas för patienter som påbörjar behandling utan att ha fått en organspecifik cancerdiagnos. Om det finns välgrundad misstanke om eller bekräftad organspecifik malignitet ska SVF avslutas med kod VP972 – Annan cancer.
VP950 – Start av första behandling, kirurgi
Datum för start av kurativ eller palliativ kirurgisk behandling.
VP952 – Start av första behandling, läkemedel
Datum för start av kurativ eller palliativ cancerspecifik läkemedelsbehandling. Används även för kombinerad behandling (radiokemoterapi) som startar med läkemedelsbehandling.
VP954 – Start av första behandling, strålning
Datum för start av kurativ eller palliativ strålbehandling. Används även för kombinerad behandling (radiokemoterapi) som startar med strålbehandling.
VP958 – Start av första behandling, palliativ
Avser symtomlindrande behandling. Koden används om ingen tumörspecifik behandling ges. Koden ska sättas vid datum för behandlingsbeslutet. Själva behandlingen (mot t.ex. illamående, smärta) har ofta startat redan under utredningen
Koder när SVF avslutas av annan orsak
VP970 – Kriterier för välgrundad misstanke ej uppfyllda
Remissgranskning visar att patienten är anmäld till SVF på felaktig grund; ingen utredning startas.
VP972 – Annan cancer – utredningen resulterar i att en primärtumör fastställs
Utredningen resulterar i att en primär cancerdiagnos ställs. Koden sätts vid datum för det avslutande samtalet. I detta SVF ingår koden i ledtidsmätningen. Annat SVF kan startas om sådant finns.
VP974 – Andra medicinska skäl
Efter läkarbedömning, när annan allvarlig sjukdom eller andra omständigheter behöver behandlas eller åtgärdas först och som avsevärt (> 3 veckor) förlänger ledtiden. Kan t.ex. användas
- vid annan samtidig cancer, stroke, akut hjärtinfarkt, svår demens, allvarligt missbruk eller liknande.
- när patienten inkluderas i klinisk studie om det förväntas förlänga ledtiden avsevärt (> 3 veckor).
- när patienten avlider innan start av behandling. Detta gäller oavsett var i vårdförloppet man är.
VP976 – Patientens val
Patienten tackar aktivt nej till erbjuden tid eller uteblir vid flera tillfällen vilket avsevärt (> 3 veckor) förlänger ledtiden. Används även om patienten tackar aktivt nej till att utredas eller behandlas enligt ett standardiserat vårdförlopp liksom om patienten väljer att behandlas utomlands. När en patient enbart begär ett senare datum för utredning eller behandling ska koden inte användas (eftersom det standardiserade vårdförloppet inte ska avslutas). Se i stället riktlinjer för avvikelseregistrering vid rapportering av standardiserat vårdförlopp. Du hittar dokumentet ”Riktlinjer för avvikelseregistrering vid rapportering av SVF” på cancercentrum.se, under rubriken ”Mer information” på sidan Mätning och kodning.
VP978 – Misstanke om cancer avskrivs
Utredningen resulterar i att en annan diagnos än cancer ställs, eller att ingen diagnos ställs och fortsatt handläggning sker utanför SVF.
Frivilliga koder för lokal uppföljning
Koderna kan rapporteras till väntetidsdatabasen men följs inte på nationell nivå.
VP915 – Välgrundad misstanke om cancer - remiss mottagen i specialiserad vård
Datum då remiss tas emot.
VP920 – Välgrundad misstanke om cancer - remiss bedömd av koordinator/läkare i specialiserad vård
Datum då remiss är bedömd.
VP925 – Första besök i specialiserad vård
Datum för första besök för utredning eller bedömning.
VP935 – Multidisciplinär konferens (MDK)
Datum för multidisciplinär konferens.
VP940 – Information om diagnos/utredningsresultat
Datum då patienten informeras om diagnos/utredningsresultat.
Denna kod kan användas för att markera behandlingsbeslutet tillsammans med patienten, t.ex. när man vill göra jämförelser med handläggningen av patienter som utreds inom det standardiserade vårdförloppet för allvarliga ospecifika symtom som kan bero på cancer. Behandlingsbeslutet kan då sägas motsvara det avslutande samtalet i vårdförloppet för allvarliga ospecifika symtom.
VP943 – Behandlingsbeslut efter basutredning
Datum för behandlingsbeslut i samråd med patienten.
VP990 – Patient överflyttad till annan region
Datum då patienten remitterats till annan region. Koden ska inte rapporteras till den nationella väntetidsdatabasen (Signe) om patienten även rapporteras in med en avslutskod. Med avslutskod menas kod för start av behandling eller avslut av annan orsak.
Förändringar i kodningsvägledningen
2024-11-05
VP974 Andra medicinska skäl: inklusion i klinisk studie tillagt som exempel på användning av koden. Samma för alla vårdförlopp.
2023-12-14
VP990 – Patient överflyttad till annan region: Ny förtydligande text, samma för alla vårdförlopp.
2023-08-10
Tillägg av kod VP990 – Patient överflyttad till annan region.
Tillägg av koder i flödesschemat.
2023-03-27
Ny förtydligande text för koderna
- VP972 – Annan cancer – utredningen resulterar i att en primärtumör fastställs
- VP974 – Andra medicinska skäl
- VP976 – Patientens val
- VP978 – Misstanke om cancer avskrivs.
Tillägg av inledande text i avsnittet Frivilliga koder för lokal uppföljning.
Flödesschemat har uppdaterats med information om kod VP944.
2022-01-14
VP974 – Andra medicinska skäl: Ny förtydligande text, samma för alla vårdförlopp.
VP991 – Patient mottagen från annan region: Ny förtydligande text, samma för alla vårdförlopp.
2021-03-23
Tydliggörande inlagt om att avslutskoderna för behandling endast ska användas för patienter som påbörjar behandling utan att ha fått en organspecifik cancerdiagnos.
VP972 – Annan cancer: information tillagd om att koden ingår i ledtidsmätningen.
Flödesschemat uppdaterat.
2018-12-17
VP940 – Information om diagnos/utredningsresultat: Stödjande text har lagts till. Även i flödesschemat.
Förtydligande av att endast en avslutskod ska användas. Ny layout.